BusfotoBUSFOTO

Bildinformationen

486 KB


Foto-ID:458776
Dateigröße:486 KB
Aufgenommen von:MAZ203069
Veröffentlicht am:30.07.2022 15:29 EET
Tage seit Veröffentlichung:1310
Aufrufe:284
Kommentare:0

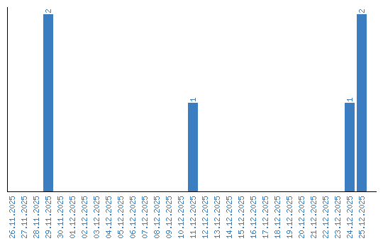
Aufrufestatistik (Tage)