BusphotoBUSPHOTO

Picture Statistics

516 KB


Picture ID:460427
File Size:516 KB
Author:danielsnk
Publication Date:07.08.2022 19:54 EET
Days in Database:1236
Unique views:204
Comments:0

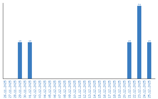
Viewing statistics by date