BusphotoBUSPHOTO

Picture Statistics

852 KB


Picture ID:460476
File Size:852 KB
Author:danielsnk
Publication Date:07.08.2022 21:25 EET
Days in Database:1286
Unique views:327
Comments:0

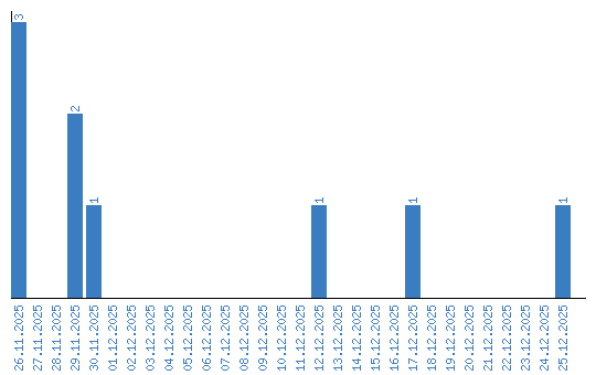
Viewing statistics by date