BusphotoBUSPHOTO

Picture Statistics

806 KB


Picture ID:461492
File Size:806 KB
Autorul:danielsnk
Publication Date:12.08.2022 23:43 EET
Days in Database:1231
Unique views:278
Comments:0

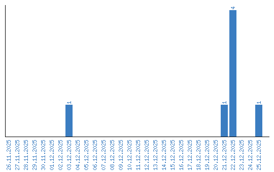
Viewing statistics by date