BusfotoBUSFOTO

Bildinformationen

682 KB


Foto-ID:461735
Dateigröße:682 KB
Aufgenommen von:ToBen
Veröffentlicht am:13.08.2022 23:03 EET
Tage seit Veröffentlichung:1292
Aufrufe:120
Kommentare:0

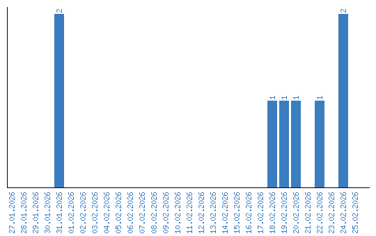
Aufrufestatistik (Tage)