BusphotoBUSPHOTO

Picture Statistics

643 KB


Picture ID:462348
File Size:643 KB
Fotografato da:LTransit
Publication Date:16.08.2022 20:20 EET
Days in Database:1289
Unique views:262
Comments:0

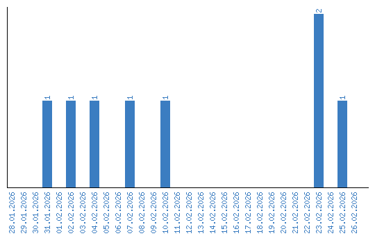
Viewing statistics by date