BusfotoBUSFOTO

Bildinformationen

346 KB


Foto-ID:46276
Dateigröße:346 KB
Aufgenommen von:Owanes Cherepowez
Veröffentlicht am:29.07.2012 11:27 EET
Tage seit Veröffentlichung:4957
Aufrufe:180
Kommentare:0

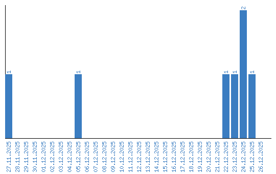
Aufrufestatistik (Tage)