BusphotoBUSPHOTO

Picture Statistics

463 KB


Picture ID:463902
File Size:463 KB
Author:Bussmicke
Publication Date:22.08.2022 23:35 EET
Days in Database:1253
Unique views:124
Comments:0

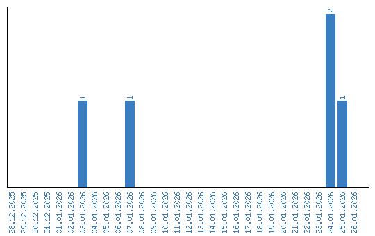
Viewing statistics by date