BusphotoBUSPHOTO

Beeldinformatie

755 KB


Afbeelding ID:466805
Bestandsgrootte:755 KB
Author:danielsnk
Gepubliceerd op:08.09.2022 22:42 EET
Dagen in databank:1205
Unieke weergaven:232
Opmerkingen:0

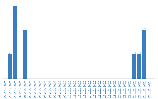
Statistieken per dag weergeven