BusphotoBUSPHOTO

Picture Statistics

531 KB


Picture ID:467930
File Size:531 KB
Author:Valius Kedainietis
Publication Date:15.09.2022 19:19 EET
Days in Database:1198
Unique views:309
Comments:0

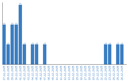
Viewing statistics by date