BusphotoBUSPHOTO

Picture Statistics

550 KB


Picture ID:468314
File Size:550 KB
Author:Valius Kedainietis
Publication Date:18.09.2022 09:55 EET
Days in Database:1256
Unique views:244
Comments:0

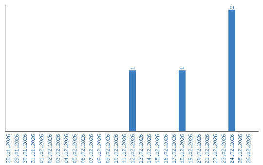
Viewing statistics by date