BusphotoBUSPHOTO

Picture Statistics

467 KB


Picture ID:468352
File Size:467 KB
Author:Bussmicke
Publication Date:18.09.2022 14:42 EET
Days in Database:1195
Unique views:112
Comments:0

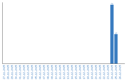
Viewing statistics by date