BusphotoBUSPHOTO

Picture Statistics

664 KB


Picture ID:468873
File Size:664 KB
Author:Lord Byron
Publication Date:21.09.2022 16:42 EET
Days in Database:1228
Unique views:316
Comments:0

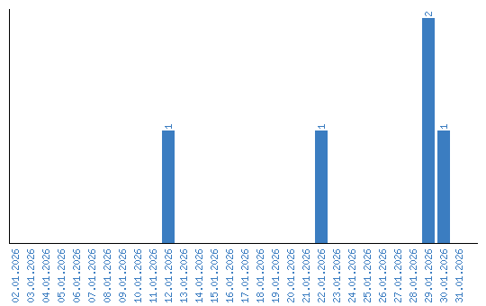
Viewing statistics by date