BusphotoBUSPHOTO

Iнфармацыя аб малюнку

471 КБ


Ідэнтыфікатар малюнка:468990
Памер файла:471 КБ
Аўтар:Verbounty
Апублікавана:22.09.2022 12:32 EET
Знаходзіцца на сайце, дзён:1219
Унікальных праглядаў:186
Каментароў:0

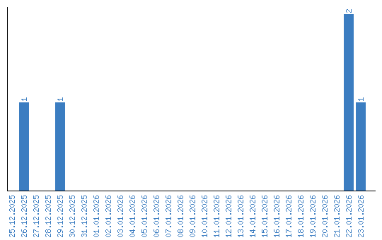
Дынаміка праглядаў па датах