BusphotoBUSPHOTO

Picture Statistics

896 KB


Picture ID:470027
File Size:896 KB
Autorul:danielsnk
Publication Date:28.09.2022 20:48 EET
Days in Database:1234
Unique views:427
Comments:0

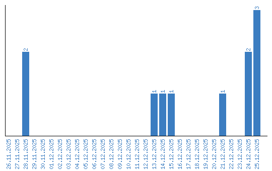
Viewing statistics by date