BusphotoBUSPHOTO

Picture Statistics

531 KB


Picture ID:470486
File Size:531 KB
Author:olegp
Publication Date:02.10.2022 10:04 EET
Days in Database:1217
Unique views:355
Comments:0

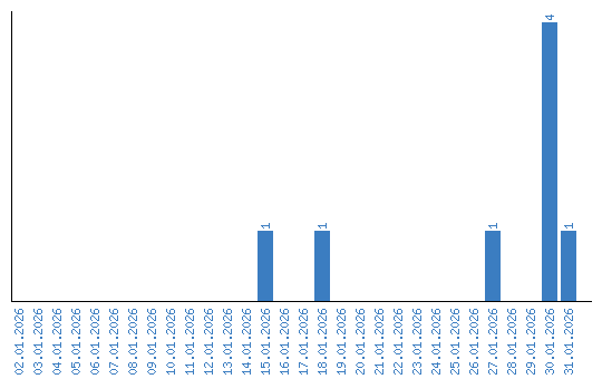
Viewing statistics by date