BusphotoBUSPHOTO

Picture Statistics

456 KB


Picture ID:471338
File Size:456 KB
Autorul:krajewski
Publication Date:07.10.2022 21:16 EET
Days in Database:1224
Unique views:220
Comments:0

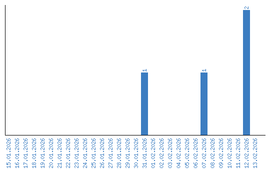
Viewing statistics by date