BusphotoBUSPHOTO

Picture Statistics

535 KB


Picture ID:471527
File Size:535 KB
Author:Valius Kedainietis
Publication Date:09.10.2022 09:17 EET
Days in Database:1203
Unique views:269
Comments:0

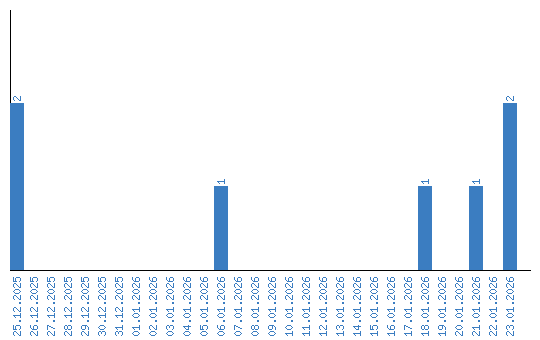
Viewing statistics by date