BusphotoBUSPHOTO

Iнфармацыя аб малюнку

793 КБ


Ідэнтыфікатар малюнка:471580
Памер файла:793 КБ
Аўтар:Автобус Лиаз
Апублікавана:09.10.2022 12:45 EET
Знаходзіцца на сайце, дзён:1224
Унікальных праглядаў:317
Каментароў:0

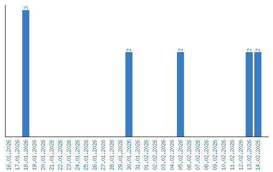
Дынаміка праглядаў па датах