BusphotoBUSPHOTO

Picture Statistics

663 KB


Picture ID:471999
File Size:663 KB
Author:Lord Byron
Publication Date:12.10.2022 15:51 EET
Days in Database:1222
Unique views:306
Comments:0

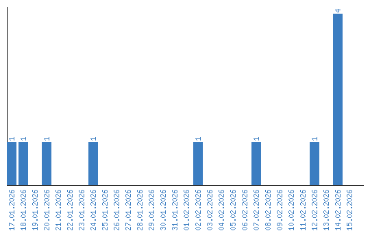
Viewing statistics by date