BusphotoBUSPHOTO

Picture Statistics

338 KB


Picture ID:47327
File Size:338 KB
Author:Пашка
Publication Date:09.08.2012 09:41 EET
Days in Database:4887
Unique views:289
Comments:0

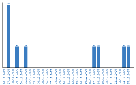
Viewing statistics by date