BusphotoBUSPHOTO

Statistiques d'images

325 KO


ID de l'image:47600
Taille du fichier:325 KO
Auteur:03223
Date de publication:12.08.2012 22:21 EET
Jours dans la base de données:4945
Vues uniques:253
Commentaires:2

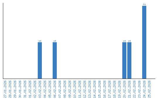
Affichage des statistiques par date