BusphotoBUSPHOTO

Picture Statistics

677 KB


Picture ID:479829
File Size:677 KB
Author:Zigzag Makryg
Publication Date:28.11.2022 18:08 EET
Days in Database:1190
Unique views:379
Comments:0

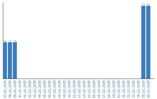
Viewing statistics by date