BusphotoBUSPHOTO

Picture Statistics

312 KB


Picture ID:482605
File Size:312 KB
Author:olegp
Publication Date:11.12.2022 21:50 EET
Days in Database:1149
Unique views:186
Comments:0

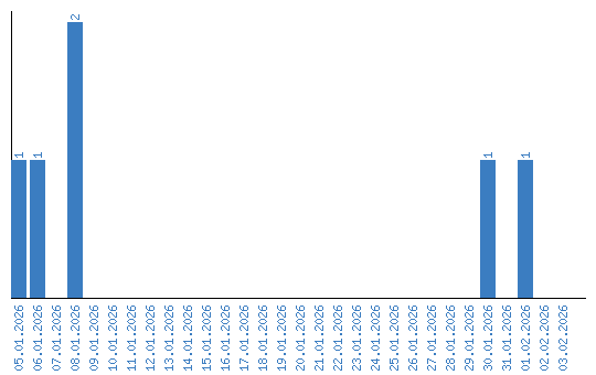
Viewing statistics by date