BusphotoBUSPHOTO

Statistiques d'images

619 KO


ID de l'image:484405
Taille du fichier:619 KO
Auteur:Block
Date de publication:20.12.2022 19:18 EET
Jours dans la base de données:1151
Vues uniques:342
Commentaires:0

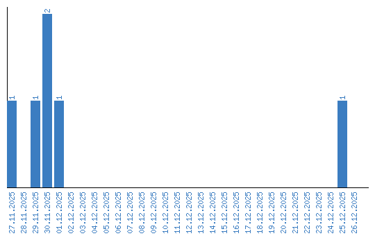
Affichage des statistiques par date