BusphotoBUSPHOTO

Picture Statistics

466 KB


Picture ID:484828
File Size:466 KB
Author:mcrnlbus
Publication Date:22.12.2022 22:10 EET
Days in Database:1130
Unique views:277
Comments:0

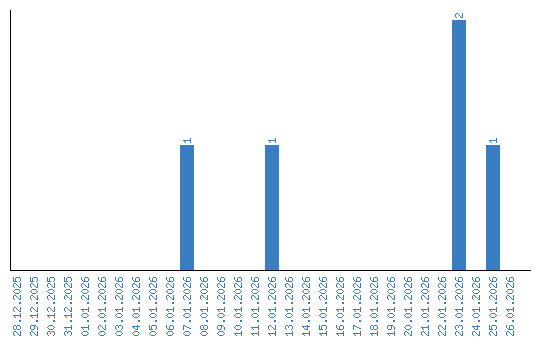
Viewing statistics by date