BusphotoBUSPHOTO

Picture Statistics

451 KB


Picture ID:485271
File Size:451 KB
Author:ToBen
Publication Date:24.12.2022 20:12 EET
Days in Database:1097
Unique views:274
Comments:0

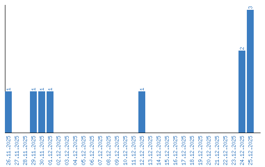
Viewing statistics by date