BusphotoBUSPHOTO

Picture Statistics

728 KB


Picture ID:485490
File Size:728 KB
Yazar:Gemini
Publication Date:25.12.2022 20:07 EET
Days in Database:1134
Unique views:309
Comments:0

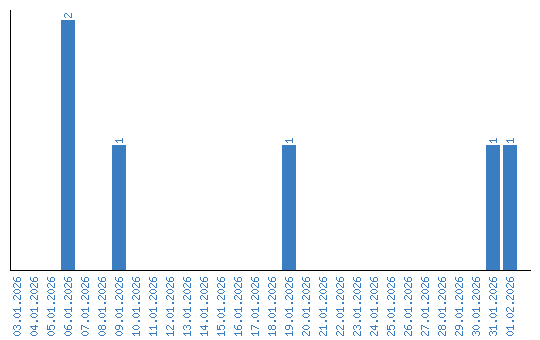
Viewing statistics by date