BusphotoBUSPHOTO

Statistiques d'images

490 KO


ID de l'image:49063
Taille du fichier:490 KO
Auteur:Daniel Podolsky
Date de publication:29.08.2012 00:51 EET
Jours dans la base de données:4904
Vues uniques:262
Commentaires:0

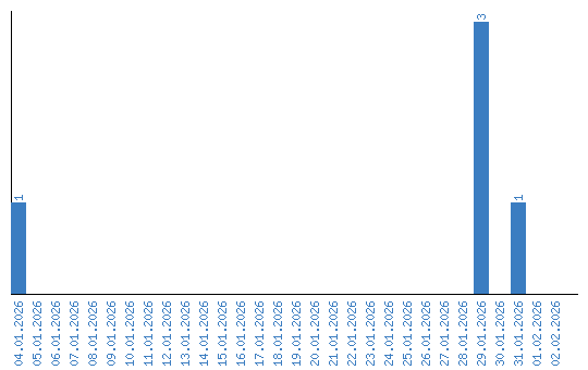
Affichage des statistiques par date