BusphotoBUSPHOTO

Picture Statistics

331 KB


Picture ID:491199
File Size:331 KB
Author:Stadtbus
Publication Date:20.01.2023 16:19 EET
Days in Database:1097
Unique views:400
Comments:0

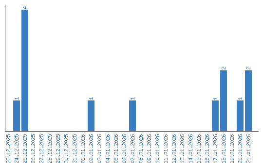
Viewing statistics by date