BusphotoBUSPHOTO

Iнфармацыя аб малюнку

437 КБ


Ідэнтыфікатар малюнка:493014
Памер файла:437 КБ
Аўтар:Kohsh_Kaush
Апублікавана:27.01.2023 20:19 EET
Знаходзіцца на сайце, дзён:1129
Унікальных праглядаў:195
Каментароў:0

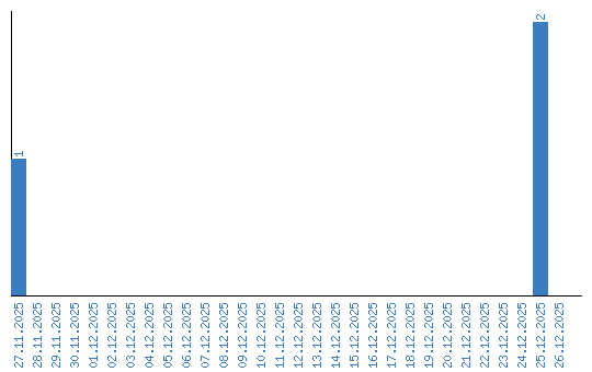
Дынаміка праглядаў па датах