BusphotoBUSPHOTO

Picture Statistics

391 KB


Picture ID:494410
File Size:391 KB
Author:Kohsh_Kaush
Publication Date:01.02.2023 22:58 EET
Days in Database:1107
Unique views:196
Comments:0

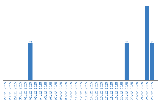
Viewing statistics by date