BusphotoBUSPHOTO

Picture Statistics

512 KB


Picture ID:495552
File Size:512 KB
Author:bvg_spotter_
Publication Date:07.02.2023 02:47 EET
Days in Database:1103
Unique views:399
Comments:0

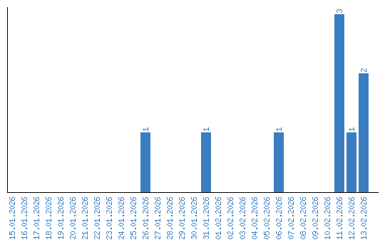
Viewing statistics by date