BusphotoBUSPHOTO

Picture Statistics

1197 KB


Picture ID:497234
File Size:1197 KB
Author:Christopher Lambers
Publication Date:15.02.2023 22:30 EET
Days in Database:1094
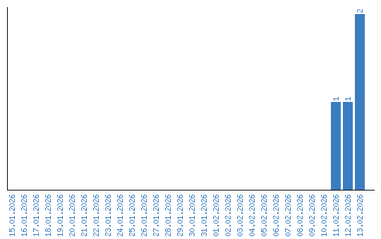
Unique views:450
Comments:0

Viewing statistics by date