BusphotoBUSPHOTO

Picture Statistics

235 KB


Picture ID:497741
File Size:235 KB
Author:rostik
Publication Date:18.02.2023 20:14 EET
Days in Database:1091
Unique views:176
Comments:0

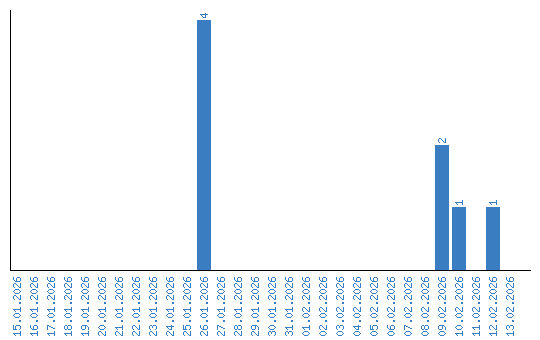
Viewing statistics by date