BusphotoBUSPHOTO

Informatsioon foto kohta

533 KB


Pildi ID:498114
Faili suurus:533 KB
Autor:16v
Avaldatud:20.02.2023 19:18 EET
Päevi saidil:1102
Unikaalseid vaatamisi:272
Kommentaare:0

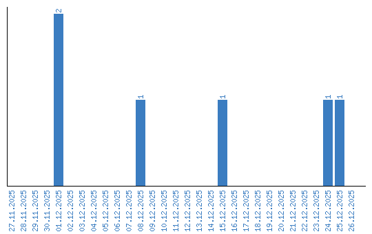
Vaatamiste statistika kuupäeviti