BusphotoBUSPHOTO

Picture Statistics

546 KB


Picture ID:498187
File Size:546 KB
Author:Valius Kedainietis
Publication Date:20.02.2023 23:13 EET
Days in Database:1038
Unique views:232
Comments:0

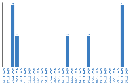
Viewing statistics by date