BusphotoBUSPHOTO

Picture Statistics

796 KB


Picture ID:499632
File Size:796 KB
Author:IbisCitea
Publication Date:27.02.2023 21:43 EET
Days in Database:1050
Unique views:374
Comments:0

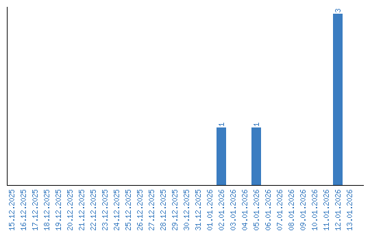
Viewing statistics by date