BusphotoBUSPHOTO

Picture Statistics

505 KB


Picture ID:500155
File Size:505 KB
Fotografato da:Valius Kedainietis
Publication Date:02.03.2023 09:22 EET
Days in Database:1091
Unique views:248
Comments:0

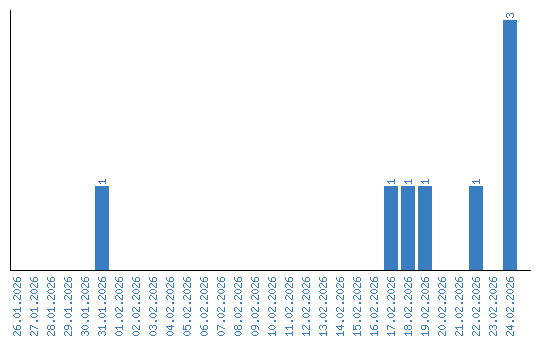
Viewing statistics by date