BusphotoBUSPHOTO

Nuotraukos informacija

663 Kb


Nuotraukos identifikatorius:500214
Bylos dydis:663 Kb
Autorius:KVG 0215
Publikuota:02.03.2023 19:29 EET
Yra tinklapyje dienų:1077
Unikalių peržiūrų:394
Komentarų:0

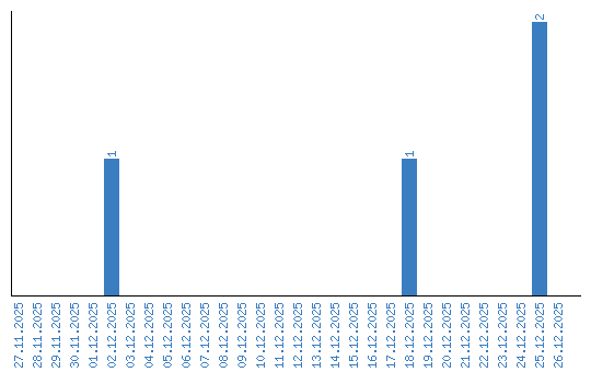
Peržiūrų dinamika pagal dienas