BusphotoBUSPHOTO

Picture Statistics

529 KB


Picture ID:503132
File Size:529 KB
Author:zugfanlukas
Publication Date:14.03.2023 22:25 EET
Days in Database:1068
Unique views:252
Comments:0

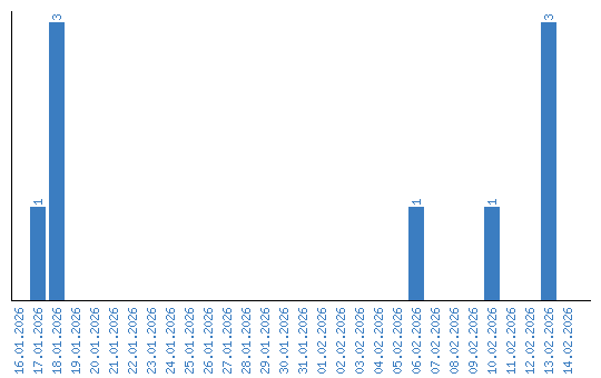
Viewing statistics by date