BusphotoBUSPHOTO

Štatistika obrázku

255 kB


Identifikátor obrázku:506796
Veľkosť súboru:255 kB
Autor:T131
Zverejnené:31.03.2023 20:03 EET
Nachádza sa na stránkach (dní):1001
Jednotlivých zhliadnutí:170
Komentárov:0

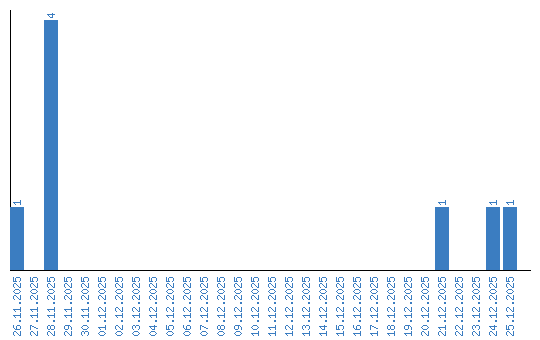
Zobrazenia po jednotlivých dňoch