BusphotoBUSPHOTO

Picture Statistics

278 KB


Picture ID:508251
File Size:278 KB
Fotografato da:olegp
Publication Date:06.04.2023 22:36 EET
Days in Database:994
Unique views:79
Comments:0

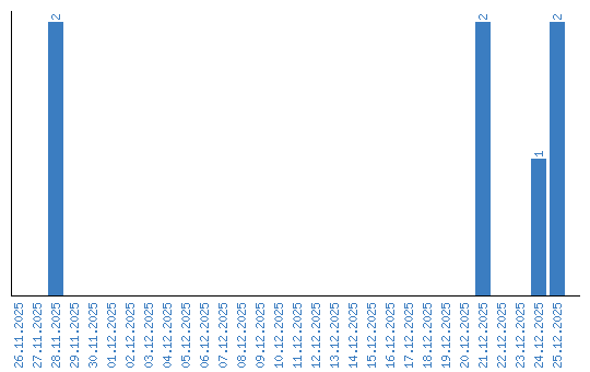
Viewing statistics by date