BusphotoBUSPHOTO

Picture Statistics

461 KB


Picture ID:510116
File Size:461 KB
Fotografato da:16v
Publication Date:14.04.2023 00:07 EET
Days in Database:1011
Unique views:285
Comments:0

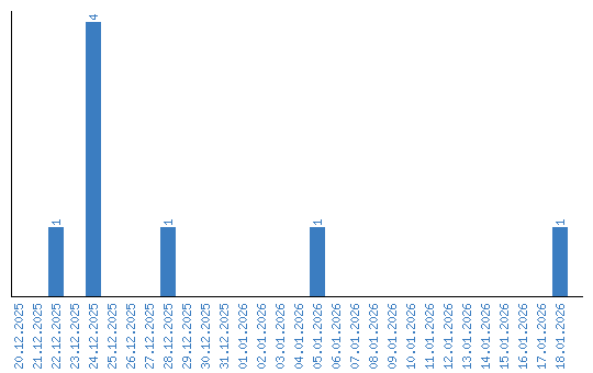
Viewing statistics by date