BusphotoBUSPHOTO

Picture Statistics

539 KB


Picture ID:512840
File Size:539 KB
Author:Sergey Piklenok
Publication Date:23.04.2023 19:12 EET
Days in Database:977
Unique views:293
Comments:0

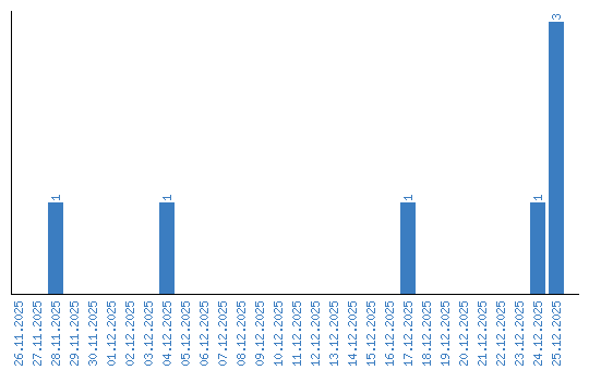
Viewing statistics by date