BusphotoBUSPHOTO

Picture Statistics

553 KB


Picture ID:513403
File Size:553 KB
Author:zugfanlukas
Publication Date:25.04.2023 23:34 EET
Days in Database:974
Unique views:290
Comments:0

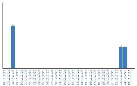
Viewing statistics by date