BusphotoBUSPHOTO

Информация за снимката

773 КБ


Идентификатор на снимки:513674
Размер на файла:773 КБ
Автор:digital
Качено:27.04.2023 03:21 EET
Стоящо в сайта, дни:1038
Уникални преглеждания:283
Коментари:0

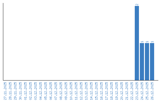
Динамика на преглежданията по дата