BusphotoBUSPHOTO

Picture Statistics

327 KB


Picture ID:51528
File Size:327 KB
Autorul:Verbounty
Publication Date:17.09.2012 14:34 EET
Days in Database:4865
Unique views:241
Comments:0

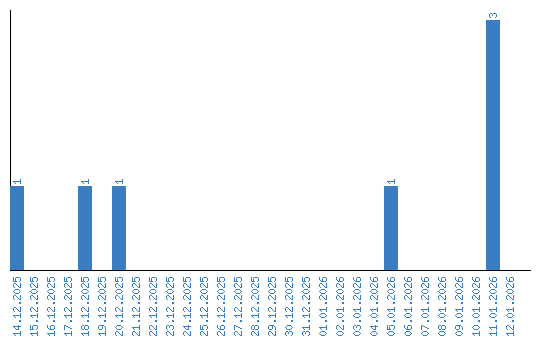
Viewing statistics by date