BusphotoBUSPHOTO

Picture Statistics

584 KB


Picture ID:516072
File Size:584 KB
Author:Likko
Publication Date:07.05.2023 22:55 EET
Days in Database:1026
Unique views:165
Comments:0

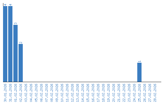
Viewing statistics by date