BusphotoBUSPHOTO

Picture Statistics

556 KB


Picture ID:518129
File Size:556 KB
Author:Пазик 25 rus
Publication Date:17.05.2023 12:04 EET
Days in Database:999
Unique views:215
Comments:0

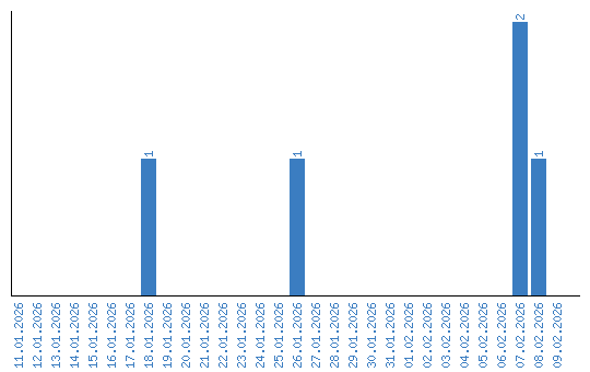
Viewing statistics by date